新闻网首页
|
加入收藏
您的位置:
首页
>
墨浪花
>
第二十九期
>
高考攻略
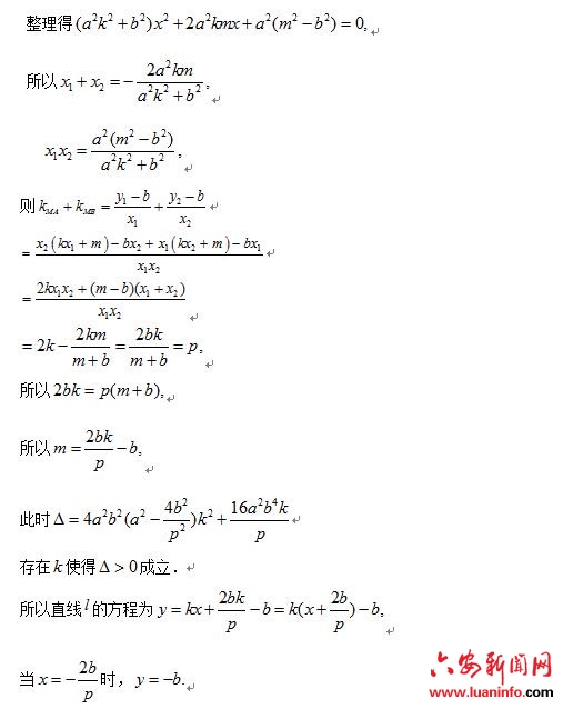
2017年高考全国Ⅰ卷理科第20题的一种推广
【打印正文】
发布时间:2018-11-16 10:20:13
次
版权声明:
1、本网所有内容,凡注明"来源:六安新闻网"的所有文字、图片和音视频资料,版权均属六安新闻网所有。
2、本站版权所有内容纯属作者个人观点,仅供参考,欢迎转载,请务必注明出处:[六安新闻网]
中共六安市委宣传部主办 承办:六安市委外宣办
六安新闻网版权所有 未经书面允许不得转载信息内容、建立镜像
投稿电话:0564-3284422 投稿邮箱:news@luaninfo.com
经营许可证编号:皖ICP备06002640号