物理组 杨振久
【摘要】 高考《考试说明》中对学生的能力要求有五个方面,其中第四个能力即为应用数学处理物理问题的能力。物理学是一门精密科学,与数学有着密切的关系,离开了数学就无法真正应用物理知识解决实际问题,因此,高考物理对此能力考察的频率非常高。本文以利用均值不等式求极值的方法,再谈数学在解决物理问题中的应用,以加深理解,高效备考。
【关键词】 均值不等式 极值 物理问题 定积求和 定和求积
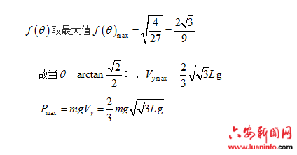
《考试大纲》关于物理学科要考查的“应用数学处理物理问题的能力”是这样叙述的:能够根据具体问题列出物理量之间的关系式,进行推导和求解,并根据结果得出结论;能运用几何图形、函数图像进行表达、分析。在教学实践中,我们经常需要求解某物理量在物理过程中的极值问题,下面以均值不等式在物理问题中的应用为例,诠释应用数学处理物理问题应具备的能力。







三、教学反思:
在应用物理知识解决问题的过程中,总要或多或少的运用到数学推导或数学运算。处理的问题越高深,应用的数学一般也会越多。凡是中学阶段学到的数学,如几何、三角、代数、解析几何,都可能成为解高考物理试题中的数学工具。因此,在高中物理教学实践中,需高度重视数学方法的传授,特别要重视学生运用数学知识解决实际问题能力的培养,这样,不仅能够加深学生对物理基本概念、基本理论的理解,而且能够培养学生的探究精神和实践能力,从而提高学生对自然规律的正确认识,激发他们对自然科学的热爱。
(曹文琛老师 编校)
